API 5L pipes are carbon steel pipes used for oil and gas transmissions. They include pipes manufactured in seamless and welded (ERW, SAW). The grades include API 5L Grade B, X42, X46, X52, X56, X60, X65, X70, X80 PSL1 & PSL2 onshore, offshore and sour services. API 5L is the implementation standard of steel pipe for pipeline transportation systems and specification for line pipe.
Grades: API 5L Grade B, X42, X52, X56, X60, X65, X70, X80
Product Specification Level: PSL1, PSL2, onshore and offshore sour services
Outer Diameter Range: 1/2” to 2”, 3”, 4”, 6”, 8”, 10”, 12”, 16 inches, 18 inches, 20 inches, 24 inches up to 40 inches.
Thickness Schedule: SCH 10. SCH 20, SCH 40, SCH STD, SCH 80, SCH XS, to SCH 160
Manufacturing Types: Seamless (Hot Rolled and Cold Rolled), Welded ERW (Electric resistance welded), SAW (Submerged Arc Welded) in LSAW, DSAW, SSAW, HSAW
Ends Type: Beveled ends, Plain ends
Length Range: SRL (Single Random Length), DRL (Double Random Length), 20 FT (6 meters), 40FT (12 meters) or, customized
Protection Caps in plastic or iron
Surface Treatment: Natural, Varnished, Black Painting, FBE, 3PE (3LPE), 3PP, CWC (Concrete Weight Coated) CRA Clad or Lined
Here we will do a brief introduction of API 5L pipe and related standard specifications with the below aspects:
Standard Scope
Manufacturing types
Different Grades (B, X42, X46, X52, X60, X65, X70)
Delivery condition (R, N, Q, M)
Product Specification Level (PSL1 and PSL2)
Material specifications (Chemical and Mechanical)
Test Methods
Tolerances on pipe diameters, wall thickness, out-of-roundness
Common defects
Line pipe history and milestones
Applications
In API SPEC 5L 46th Edition, the standard scope is defined as: “Requirements for the manufacture of two product specification levels (PSL1 and PSL2) of seamless and welded steel pipes for use in pipeline transportation systems in the petroleum and natural gas industries. This standard does not apply to cast pipe.”
To summarize, API 5L pipe is the carbon steel pipe applied to the oil and gas transmission system. Meanwhile, other fluids such as steam, water, and slurry can also adopt the API 5L standard for their transmission purposes.
API 5L specification covers the manufacturing types in welded and seamless.
The API 5L welded pipe common types are as follows:
ERW: Electric Resistance Welded, for pipe diameter normally under 24 inches.
DSAW/SAW: Double Submerged Arc Welding / Submerged Arc Welding, a substitute welding method of ERW for larger diameter pipes.
LSAW: Longitudinal SAW, for diameter up to 48 inches. Also called the JCOE manufacturing process.
SSAW/HSAW: Spiral Submerged Arc Welded / Helical SAW, pipe diameters up to 100 inches.
Check here for the differences between the ERW, LSAW, and SSAW pipes.
Seamless manufacturing type is usually for small diameter pipes (typically under 24 inches).
(When the pipe diameter is less than 150 mm or 6 inches, the seamless steel pipe is more commonly applied than the welded steel pipe.)
There are also seamless pipes of large diameters. By using hot rolled manufacturing process, we can get seamless pipes with diameters up to almost 20 inches (508 mm). If you need seamless pipes with diameters above 20 inches, we can make them through hot expanding process, with maximum diameters up to 40 inches (1016 mm).
In the earliest years, besides Seamless and ERW, SAW manufacturing technologies, the API 5L steel pipe also could be produced in furnace lap-welded (deleted in API 5L in 1962).
With the development of pipeline steel plate-making technology, pipe forming and welding technology has also seen significant improvement, so a lot of ERW pipes and SAW pipes have been used in pipeline constructions. When it comes to big-diameter steel pipes, SAW pipe gains a great advantage. With less raw material cost and simplified and uniform production procedures, welded steel pipe has taken the first place in oil and gas line pipe industries.
API 5L steel line pipe adopts different steel grades, which are Gr. B, X42, X46, X52, X56, X60, X65, X70, X80. Some manufacturers are capable of manufacturing steel grades up to X100 and X120. As steel line pipes’ grades go higher, they have stricter control on the carbon equivalent control and higher mechanical strength performance.
Moreover, in the same grade, seamless and welded API 5L pipes have different chemical compositions, namely, welded pipes have stricter requirements and lower amounts of carbon and sulfur.
In terms of different delivery conditions, there are also As-rolled, normalizing rolled, thermomechanical rolled, normalizing formed, normalized, normalized and tempered, quenched and tempered.
more:
For intermediate grades, API 5L pipe grade shall be in one of the following description formats:
a. The letter L followed by the specified minimum yield strength in Mpa. For example, L290 (X42) means the minimum yield strength is 290 Mpa. In the case of PSL2 pipe, Suffix letters (R, N, Q, or M) shall be added to describe the delivery condition;
b. The letter X followed by a two or three digital number equal to the minimum yield strength in 1000 psi rounded down to the nearest integer and, for PSL2 pipe, the letter describing the delivery condition (R, N, Q, or M) consistent with the above formats.
Letter R: As rolled
Letter N: Normalizing rolled, Normalized formed, Normalized
Letter Q: Tempered and quenched
Letter M: Thermomechanical rolled or thermomechanical formed
Letter S: Sour Services, comes with PSL2 pipe for NS, QS, and MS, eg API 5L X52MS, API 5L X65QS.
PSL is the abbreviation of product specification level, which includes PSL1 and PSL2. It also could be deemed as quality level.
Please click here for the differences between PSL1 and PSL2 pipes.
PSL1 and PSL2 have not only different testing requirements but also different chemical composition and mechanical properties.
PSL1 has stricter requirements than PSL2 in terms of chemical composition, tensile properties, impact test, nondestructive testing, and other indicators.
For more details, please click here for Differences between API 5L PSL1 and PSL2.
PSL1 does not require an impact test, while it is required for PSL2 (except X80).
PSL1 does not require a non-destructive test, while it is required for PSL2.
(NDT: Non-destructive inspection and testing uses radiographic, ultrasonic, or other methods (not breaking the material) in API 5L standard, to reveal pipe defects and imperfections.)
API 5L Pipe Data Sheet specification including chemical composition and mechanical properties for PSL1 and PSL2 pipe.
Chemical composition for PSL1 line pipe with wall thickness ≤ 25.0 mm (0.984 inches)
API 5L Pipe Datasheet in PDF
API 5L PSL2 Pipe chemical properties:
Chemical Composition for API Sour Pipe

a. If C > 0.12%, CEIIW limits shall be applied; If C ≤ 0.12%, CEPCM shall be applied.
b. For each reduction of 0.01% for maximum C, an increase of 0.05% maximum Mn is permissible, up to a maximum of 0.20%.
c. Al ≤ 0.060%; N ≤ 0.012%; Al/N ≥ 2:1 (titanium-killed or titanium-treated steel not applicable); Cu ≤ 0.35% (Cu ≤ 0.10% if agreed); Ni ≤ 0.30%; Cr ≤ 0.30%; Mo ≤ 0.15%; B ≤ 0.0005%.
d. For seamless and welded pipes, Ca ≤ 0.006%; For welded pipe if Ca is added by intention unless agreed, Ca/S ≥ 1.5 in case S > 0.0015%.
e. For SMLS pipe maximum limit for S could be increased to ≤ 0.008%, and in case welded if agreed to ≤ 0.006%. For higher S content in the welded pipe, lower Ca/S ratios maybe agreed.
f. Nb + V ≤ 0.06%, unless otherwise agreed.
g. Nb + V + Ti ≤ 0.15%.
h. In case seamless pipe, listed CEPCM value could be increased by 0.03.
i. Mo ≤ 0.35% in case agreed.
j. Cr ≤ 0.45% in case agreed.
k. Cr ≤ 0.45% and Ni ≤ 0.50% in case agreed.

For intermediate grades, the difference between the specified minimum tensile strength and minimum yield strength for the pipe body shall be as given in the table for the next higher grade. The specified minimum tensile strength for the weld seam shall be the same value as was determined for the pipe body ung footnote a)
a. For intermediate grades, the difference between specified maximum yield strength and minimum YS shall be as given in the table for the next higher grade, and the difference between specified minimum tensile strength and the specified minimum TS shall be as given in the table for the next higher grade. For intermediate grades up to Grade L320 or X46, the tensile strength shall be ≤ 655 MPa (95 000 psi). For intermediate grades greater than Grade L320 or X46 and lower than Grade L555 or X80, the tensile strength shall be ≤ 760 MPa (110 200 psi). For intermediate grades higher than Grade L555 or X80, the maximum permissible tensile strength shall be obtained by interpolation. For SI units, the calculated value shall be rounded to the nearest 5 MPa. For USC units, the calculated value shall be rounded to the nearest 100 psi.
b. For grades > L625 or X90, Rp0,2 applies.
c. Above limit applies for pipe with D > 323,9 mm (12.750 in).
d. For intermediate grades, the specified minimum tensile strength for the weld seam shall be the same value as was determined for the pipe body using footnote a).
e. For pipe requiring longitudinal testing, the maximum yield strength shall be ≤ 495 MPa (71 800 psi).
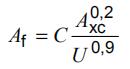
f. The specified minimum elongation, Af, shall be as determined with following equation:
g. Lower values of Rt0,5/Rm may be specified by agreement.
h. For grades > L625 or X90, Rp0,2 /Rm applies. Lower values of Rp0,2 /Rm may be specified by agreement.
Mechanical Properties for API 5L Sour Service Pipe

The strength value is the same as PSL2.
a. Jointers need not be hydrostatically level, provided that the portions of pipe used in making the jointers were successfully hydrostatically tested prior to the joining operation.
b. Except in the previous situation, the pipe shall withstand the hydrostatic test without leakage through the weld seam or the pipe body.
Cracks should not occur in any part of the sample and opening of weld shall not occur as well.
Please Note: For all bend tests, the weld extends to 6.4 mm (0.25 in) on each side of fusion line.
The flattening test method is used to verify the deformation performance of line pipe to the specified size and display its defects. According to the stress and deformation characteristics of the specimen during the flattening process, the flattening test shall show the resistance to longitudinal cracking and circumferential cracking of the pipe and display its internal defects and surface defects.
Other than the above three common tests, there are other tests that are required in each circumstance.
Guided-bend test
CVN impact test for PSL2 pipe (including pipe body tests, pipe weld and HAZ tests)
DWT test for PSL2 welded pipe
All API 5L pipes shall be free from defects, cracks, sweats and leaks.
More defects as:
Undercuts in SAW and COW pipes.
Arc burns
Laminations
Geometric deviations
Hard spots
Other surface imperfections (Defects depth more than 0.125 thickness or ≤ 0.125 wall thickness refers to Clauses C in API 5L.)


API 5L pipe length tolerances shall be complied as following conditions:
a. Random length shall be delivered as below table 12.
b. Approximate lengths shall be delivered as tolerances of +/- 500 mm.

a. Quantity in meters or in tons. Total meters or total pieces.
b. PSL1 or PSL2 (N/M/Q/NS/MS/QS), Sour Services, Onshore/Offshore
c. Pipe Types (Seamless or welded, EW, ERW, HFW, SAW, LSAW, HSAW, SSAW)
d. Reference documents to API 5L.
e. Steel Grade
f. OD (Outside diameter) and WT (pipe wall thickness)
g: Length and length type (Double random length / Single random length / Fixed length / Approximate length)
h. Individual annexes applicability of confirmation
The following additional information could also be included in the PO in different situations.
• Pipe designation
• Chemical composition for intermediate grades
• Carbon equivalent limits
• Diameter or round tolerances for special size pipe
• Jointer welds
• Ends type
• Repairs requirements
• CVN impact test
• DWT test
• Hardness test
• Pipe markings and end colors
Etc.
For PSL1 pipe, manufacturer shall establish and follow documented procedures to maintain
a. The heat identity until all related chemical tests are performed and complied with the required specifications.
b. Test unit identity until all related mechanical tests are performed and complied with the related specifications.
For PSL2 pipe, besides the above terms, such documents shall provide means for tracing any length of the pipe to the proper test unit, including the related chemical and mechanical test results.
1834 First cast iron pipe made at US (Millville, NJ)
1856 Converter steel making technology developed
1858 First successful oil well established in Titusville, PA
1863 Screwed couplings used in pipeline connections
1863 Pipe is made in wrought iron with furnace lap-welded seams
1893 First 30-inch diameter pipe made in lap-welded
1899 First large diameter seamless steel pipe in 20 inch is made, thickness at 5/8 inch
1917 11-mile pipeline is using electric metal arc welding
1919 API (American Petroleum Institute) is charted.
1924 Electric resistance welding with direct or low frequency current is invented
1925 Large diameter seamless pipe in 24” diameter is available
1927 Electric flash welded pipe is developed
1928 First API 5L standard for manufacturing line pipe appears, covers furnace butt-welded pipe, furnace lap-welded pipe, seamless pipe. Minimum YS 172 Mpa 25000 psi, maximum 310 Mpa 45000 psi. Including material for three Grade A25, A, B, minimum yield strength was 172 Mpa, 207 Mpa, and 241 Mpa.
1931 API 5L pipe specification included ERW pipe (electric resistance welded pipe)
1933 Large diameter steel pipe mostly adopted electric arc girth welding
1944 Electric flash-welded pipe added in API 5L
1946 30-inch large diameter single submerged-arc-welding pipe begins
1948 Double submerged-arc-welded pipe (DSAW pipe) appears
1948 Release API 5LX standard, covers minimum yield strength material in 289 Mpa (42000 psi).
1953 API 5L Grade X46 and X52 pipe added
1962 Furnace lap-welded pipe removed from API 5L pipe, basic oxygen steel making processes accepted.
1963 Nondestructive inspection methods start to use in API 5L pipe specification
1966 API 5L Grade X60 pipe appears
1969 Supplemental requirements for toughness test added in API 5L
1973 API 5L Grade X70 steel pipe appears
1983 API 5L and API 5LX combined in API 5L.
1985 Grade X80 pipe appears
2000 Minimum level fracture toughness made mandatory in API 5L
Before 2000, Grade X70 pipe used in pipelines total quantity at 40%, Grade X65 and X60 was at about 30% each, small diameter pipelines also choose to Grade X52 pipe, which mostly at ERW type.
This version was initiated in April 2018 and effective on 1st, May 2019.
In 2007, ISO and API did a joint release for ISO 3183:2007/API SPEC 5L 44th, to complete an international standard worldwide. Until 2012, United States claimed about the intellectual property right, so API terminated the cooperation with ISO, and no longer making standards for ISO. But the latest version of ISO 3183:2012 or API 5L 2012 still a union achievement, except API LOGO and onshore line pipe specification for European, the other content was all the same.
The main difference between 45th Edition with previously is to add two additional appendixes: European onshore pipeline for PSL2 pipe order specification, (Annex M). And Equations for threaded and coupled pipe and background equations for guided bend and CVN test specimens (Annex P). As for the other content, they only have a slight difference in related standards, manufacturing technology, performances norm, inspection methods, besides adjustment of text expression. The latest version of API 5L 2012 is completer and more scientific.
Modern API 5l steel line pipe belongs to low carbon or ultra-low carbon micro alloy steel. It is a high technology and high value-added product.
The steel line pipe production has applied to almost all modern technology achievements in the metallurgy field for nearly 20 years.
At present, the development trend of line pipe engineering is large diameter, high pressure gas transportation, high cold and corrosion service environment, thick wall of submarine pipeline etc.
Therefore, API 5L steel pipe should have high strength, high toughness, and brittle fracture, as well as good welding ability, and suitable for sour services and in H2S environment with anti-corrosion performances.